Singapore signed trade agreements with Panama and Costa Rica that entered into force in July 2006 and 2013, respectively. In both cases, the agreements give preferential access to products and services from Singapore to the markets of Panama and Costa Rica and vice versa. They also include regulations to investments and electronic trade.
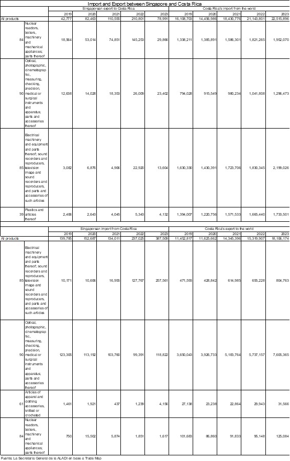
In 2023, Singapore exported to Panama and Costa Rica 5,435 million dollars and 79 million dollars, respectively, while importing 2,238 million dollars and 388 million dollars, respectively. Refer to the graph and table below for more details.




